download Download Brochure

API

Search by Chemical Name or CAS Number

Prasugrel hydrochloride
Prasugrel hydrochloride
Chemical Name 

5-[(1RS)-2-cyclopropyl-1-(2-fluorophenyl)-2-oxoethyl]-4,5,6,7-tetrahydrothieno[3,2-c] pyridin-2-yl acetate hydrochloride

CAS Number  389574-19-0
Molecular Weight  409.9
Molecular Formula C₂₀H₂₁ClFNO₃S
Therapeutic category  Antiplatelet agents (To treat the thrombotic cardiovascular events)
Ormeloxifene hydrochloride
Ormeloxifene hydrochloride
Chemical Name

1-[2-[4-[(3R,4R)-7-methoxy-2,2-dimethyl-3-phenyl-3,4-dihydrochromen-4-yl]phenoxy] ethyl]pyrrolidine;hydrochloride (or) Pyrrolidine, 1-[2-[4-(3,4-dihydro-7-methoxy-2,2- dimethyl-3-phenyl-2H-1-benzopyran-4-yl)phenoxy]ethyl]-, hydrochloride

CAS Number 51023-56-4
Molecular Weight 494.1
Molecular Formula   C₃₀H₃₆ClNO₃
Therapeutic category  Selective estrogen receptor modulators (To treat the perimenopausal bleeding)
Rivaroxaban
Rivaroxaban
Chemical Name

5-Chloro-N-[[(5S)-2-oxo-3-[4-(3-oxomorpholin-4-yl)phenyl]-1,3-oxazolidin-5-yl]methyl] thiophene-2-carboxamide

CAS Number 366789-02-8
Molecular Weight 435.9
Molecular Formula  C19H18ClN3O5S
Therapeutic category Factor Xa inhibitor, Cardiovascular, Anticoagulant (Prevent blood clots)
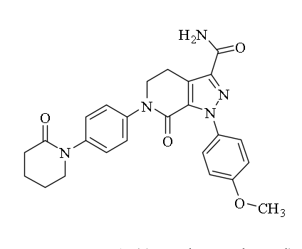
Apixaban
Apixaban
Chemical Name

1-(4-methoxyphenyl)-7-oxo-6-[4-(2-oxopiperidin-1-yl)phenyl]-4,5,6,7-tetrahydro-1H-pyrazolo[3,4-c]pyridine-3-carboxamide

CAS Number 503612-47-3
Molecular Weight 459.5
Molecular Formula C25H25N5O4
Therapeutic category Factor Xa inhibitor, Cardiovascular, Anticoagulant (Prevent blood clots)
Mesalamine (Mesalazine)
Mesalamine (Mesalazine)
Chemical Name

5-Amino-2-hydroxybenzoic acid

CAS Number 89-57-6
Molecular Weight 153.1
Molecular Formula C7H7NO3
Therapeutic category Anti-inflammatory (To treat inflammatory bowel disease)
Tafamidis Meglumine
Tafamidis Meglumine
Chemical Name

2-(3,5-dichlorophenyl)-1,3-benzoxazole-6-carboxylic acid mono (1-deoxy-1-methylamino-D-glucitol)

CAS Number 951395-08-7
Molecular Weight 503.3
Molecular Formula C21H24Cl2N2O8
Therapeutic category Transthyretin stabilizers (To treat the cardiomyopathy of wild-type or hereditary transthyretin-mediated amyloidosis)
Tafamidis
Tafamidis
Chemical Name

2-(3,5-dichlorophenyl)-1,3-benzoxazole-6-carboxylic acid

CAS Number 594839-88-0
Molecular Weight 308.1
Molecular Formula C14H7Cl2NO3
Therapeutic category Transthyretin stabilizers (To treat the cardiomyopathy of wild-type or hereditary transthyretin-mediated amyloidosis)
Mirabegron
Mirabegron
Chemical Name

2-(2-Amino-1,3-thiazol-4-yl)-N-[4-[2-[[(2R)-2-hydroxy-2-phenylethyl]amino]-ethyl]phenyl]acetamide

CAS Number 223673-61-8
Molecular Weight 396.5
Molecular Formula C21H24N4O2S
Application Beta3 Agonists (To treat Overactive Bladder (OAB) symptoms)
Tolvaptan
Tolvaptan
Chemical Name

(±)-4’-[(7-chloro-2,3,4,5-tetrahydro-5-hydroxy-1H-1-benzazepin-1-yl)carbonyl]-o-tolu-m-toluidide

CAS Number 150683-30-0
Molecular Weight 448.9
Molecular Formula C26H25ClN2O3
Therapeutic category Vasopressin V2-receptor antagonist (To treat Hyponatremia)
download Download Brochure arrow_upward